L&K 3
LATIHAN
1.Berapakah jumlah elektron dari Cl− dan O−2
A. 17 dan 8B. 17 dan 10
C. 18 dan 10✓
D. 16 dan 8
E. 18 dan 6
Penyelesaian :
Jumlah Elektron = (Nomor massa - Nomor atom) - ion
Cl− = (35 -17) - (-1 ) = 18
O−2= (16-8) - (-2) = 10
KUIS
1.Senyawa X terdiri dari 87,42% massa N dan sisanya massa H. Jika massa molekul relatif senyawa X sebesar 32, rumus empiris dan rumus molekul senyawa X ? (Ar N = 14; H = 1)
A. NH2 dan N2H4 ✓
B. NH3 dan NH2
C. NH dan NH2
D. NH3 dan N2H4
E. NH dan NH3
Penyelesaian:
A)Rumus Empiris
- Carilah berapa jumlah H pada senyawa X :
- Lalu carilah Jumlah mol unsur H dan N pada senyawa X :
- Untuk mencari rumus empiris, kedua mol unsur dan sederhanakan dengan angka terkecil hasil nya berupa angka bulat. Perbandinggan tersebut adalah angka indeks dari senyawa.
n N : n H = 6,24 mol : 12,58 mol ⇔ 1 : 2,01 ≈ 1 : 2
Maka rumus molekul senyawa X = NH2
B)Rumus Molekul
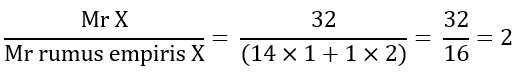
- Untuk mencari rumus molekul lakukan pembagian antara massa molekul relatif senyawa X dengan massa relatif yang diambil dari rumus empiris. Hasil pembagian tersebut akan dijadikan sebagai koefisien rumus molekul.
Maka Rumus Molekul untuk senyawa X = 2(NH2) = N2H4
2.Sebuah rekasi kimia melibatkan Aluminium oksida dan larutan asam klorida membentuk larutan aluminium klorida dan air.
Al2O3(s) + HCl(aq) → AlCl3(aq) + H2O(l)
Manakah diantara reaksi berikut yang sudah setara ?
A. 2Al2O3(s) + 4HCl(aq) → 2AlCl3(aq) + 3H2O(l)
B. Al2O3(s) + 6HCl(aq) → 2AlCl3(aq) + 3H2O(l) ✓
C. 2Al2O3(s) + HCl(aq) → 3AlCl3(aq) + H2O(l)
D. Al2O3(s) + 6HCl(aq) → 2AlCl3(aq) + H2O(l)
E. Al2O3(s) + 3HCl(aq) → 4AlCl3(aq) + 5H2O(l)
B. Al2O3(s) + 6HCl(aq) → 2AlCl3(aq) + 3H2O(l) ✓
C. 2Al2O3(s) + HCl(aq) → 3AlCl3(aq) + H2O(l)
D. Al2O3(s) + 6HCl(aq) → 2AlCl3(aq) + H2O(l)
E. Al2O3(s) + 3HCl(aq) → 4AlCl3(aq) + 5H2O(l)
Penyelesaian:
Sebelum melakukan penyetaran hitunglah jumlah masing-masing unsur di sisi kiri dan kanan reaksi.
Al2O3 + HCl → AlCl3 + H2O
sisi kiri:Al = 2 ; O = 3 ; H = 1 ; Cl = 1
sisi kanan:
Al = 2 ; O =1 ; H = 2 ; Cl = 3
Setelah itu lakukanlah penyetaraan dengan memberikan koefisien pada senyawa hingga jumlah masing-masung unsur di sisi kiri dan kanan berjumlah sama. dalam soal ini setarakan lah terlebih dahulu unsur Al
Al2O3 + HCl → 2AlCl3 + H2O
Lalu setarakanlah unsur Cl pada sisi kiri persamaan:
Dan setarakanlah unsur H pada sisi kanan persamaan:
Al2O3 + 6HCl → 2AlCl3 + H2O
Al2O3 + 6HCl → 2AlCl3 + 3H2O
Silahkan hitung kembali jumlah masing-masung unsur di sisi kiri dan kanan jika sudah sama artinya reaksi sudah setara.
3.Bila Cu(CN)2 dipanaskan, dihasilkan C2N2(sianogen) dan CuCN.
2Cu(CN)2 → C2N2 + 2CuCN
Berapa massa Cu(CN)2 dibutuhkan untuk membuat C2N2 sebanyak 5,00 g ? (Mr Cu(CN)2 = 115,6; C2N2 = 52,04)
B. 22,2 g ✓
C. 25,2 g
D. 21,4 g
E. 23,4 g
Penyelesain:
Untuk mencari massa produk ataupun reaktan gunakanlah perbandingan dengan koefisien unsur yang di tanya dengan koefisien yang diketahui lalu kalikan dengan koefisien yang diketahui.
Lalu carilah massa Cu(CN)2 :
Massa Cu(CN)2 = 0,19216 * 115,6
= 22,21368 g ≈ 22,2 g
4.